表明现象的数量结构用成数(比率)指标,如产品合格率、电视收视率、升学率、就业率等。若要研究总体成数是否发生显著变化,则可以利用样本成数对总体成数作假设检验。
【例1-1】
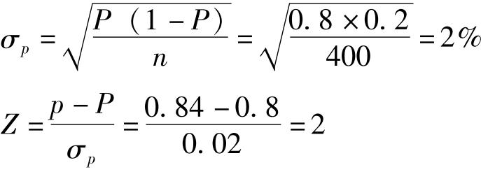
某化肥厂生产合成氨,按规定含氮量为80%。现在,每小时取50千克,一班8小时共抽400千克进行检验,测得平均浓度为84%,试以5%的显著性水平检验质量有没有明显的差异。
解:(1)设立假设。原假设H 0 :P=0.8;备选假设H 1 :P≠0.8。
(2)给定显著性水平。取α=0.05,由于是双侧检验,查“概率表”得上临界值Z 0.025 =1.96,下临界值-Z 0.025 =-1.96。
(3)根据抽样资料,计算:
(4)检验判断。由于Z=2,Z 0.025 =1.96,即Z>Z 0.025 ,因此拒绝原假设,即认为合成氨含氮量和标准含量有明显的差异。
【例1-2】
某公司宣称,有75%以上的消费者满意其产品的质量。一家市场调查公司受委托调查该公司此项声明是否属实。随机抽样调查625位消费者,表示满意该公司产品质量者有500人,试问在0.05的显著性水平下,该公司的声明是否属实。
解:由于该公司宣称75%以上的消费者满意其产品质量,现在要检验该声明是否属实,因此本题是关于总体成数的右单侧检验问题。
(1)设立假设。原假设H 0 :P≤75%;备选假设H 1 :P>75%。
(2)给定显著性水平。取α=0.05,由于是单侧检验,查“正态概率分布表”,F(Z α )=1-2α=0.90,得Z α =1.645。
(3)根据样本资料可得:p=500/625=0.8,则检验统计量Z的实际值为:
(4) 检验判断。因Z=2.887>Z 0.05 =1.645,所以拒绝原假设H 0 ,认为该公司的声明属实。


